其他中文名稱 : 慶大霉素硫酸鹽;硫酸正泰霉素;硫酸艮他霉素;硫酸雙生霉素
英文名稱 : Gentamycin sulfate
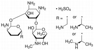
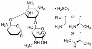
其他英文名稱 : 2-[4,6-Diamino-3-[3-amino-6-(1-methylaminoethyl)oxan-2-yl]oxy-2-hydroxy-cyclohexoxy]-5-methyl-4-methylamino-oxane-3,5-diol sulphate
C21H43N5O7·H2SO4=575.67
級 別 : USP Grade
效 價 : ≥590u/mg
pH (4%, Water) @25C : 3.5~5.5
比旋光度 : +107~+121°
性 狀 : 白色或類白色結(jié)晶性粉末,無臭,熔點218~237℃。有引濕性,易溶于水,不溶于乙醇、丙酮、乙醚或氯仿。對光、熱、PH值都穩(wěn)定
用 途 : 生化研究。慶大霉素靠結(jié)合到30S核糖體亞單位上引起密碼讀錯,阻斷肽酰-tRNA(peptidyl-tRNA)從受體位點到供體點點的轉(zhuǎn)移。慶大霉素對假單胞桿菌的殺菌效果靠結(jié)合到細(xì)胞膜的外膜部分,置換本來存在的陽離子,使膜不穩(wěn)定,在細(xì)胞表面形成空洞。抗菌譜: 革蘭氏陰性細(xì)菌,葡萄狀球菌和其它的革蘭氏陽性細(xì)菌。
保 存 : 2~8℃
購物車
幫助
021-54845833/15800441009
