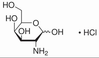
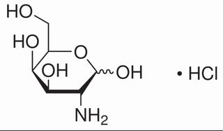
中文名稱 : D-半乳糖胺鹽酸鹽
其他中文名稱 : D-氨基半乳糖鹽酸鹽;2-氨基-2-脫氧-D-半乳糖鹽酸鹽;D-軟骨糖胺鹽酸鹽;2-氨基-2-脫氧-D-水解乳糖鹽酸鹽
英文名稱 : D-Galactosamine HC1
其他英文名稱 : 2-Amino-2-deoxy-D-galactose hydrochloride;D-Chondrosamine hydrochloride
C A S : 1772-03-8
C6H13NO5?HCl=215.63
級 別 : High purity grade
含 量 : ≥98.0%
氯化物 : ≤0.1%
重金屬 : ≤10ppm
干燥失重 : ≤0.2%
灼燒殘渣 : ≤0.2%
性 狀 : 白色或類白色結(jié)晶性粉末
用 途 : 生化研究。
保 存 : RT
購物車
幫助
021-54845833/15800441009
