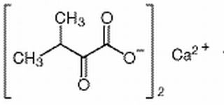
中文名稱(chēng) : 3-甲基-2-氧丁酸鈣鹽
其他中文名稱(chēng) : α-酮基纈氨酸鈣鹽;3-甲基-2-氧代丁酸鈣鹽;酮纈氨酸鈣
英文名稱(chēng) : Calcium alpha-ketovaline
其他英文名稱(chēng) : 3-Methyl-2-oxobutyric Acid Calcium Salt;Calcium 3-methyl-2-oxobutyrate
C A S : 51828-94-5
C10H14O6Ca·xH2O=270.29
級(jí) 別 : BR
含 量 : ≥97.0%
水 分 : ≤8.0%
性 狀 : 白色至類(lèi)白色粉末。
用 途 : 生化研究。
保 存 : RT
購(gòu)物車(chē)
幫助
021-54845833/15800441009
